9. Baliabide-deskribapenen formak
Ryan Shaw, Murray Maloney
9.2 Deskribapenak egituratzea
Baliabide-deskribapenak nola egituratu erabaki nahi badugu, diseinuari dagozkion erabakiak hartu behar ditugu, zenbait printzipioren arabera, arazoak konpontzeko, helburuak betetzeko edo deskribapenen bidez propietate desiragarriren bat ekartzeko xedez. Erabaki gehienak arlo jakin bati dagozkio: antolaketa-sistema ezarriko den testuinguruari eta ahalbidetuko dituen elkarreragin-jarduerei. Testuinguruari dagozkion erabakiak hartuta, arlo horretako eredu bat sortuko da (ikus 5.3.1.2 atala: Abstrakzioa baliabideen deskribapenean).
Denborarekin, jende askok eraiki ditu deskribapen-mota antzekoak. Antzeko propietateak lortu nahi izan dituzte, antzeko helburuak izan, eta antzeko arazoei egin diete aurre. Eta, jakina, erabaki berdinak hartu dituzte tarteka. Diseinuari dagozkion erabaki-sorta komunak identifikatu badaitezke, arlo zehatz batekin lotuta ez daudenak, sorta horiek testu-liburuetan eta diseinu-praktiketan sistematizatzen dira maiz; baliteke, azkenean ere, antolaketa-sistemak sortzeko formatu eta arkitektura estandar bihurtzea. Diseinuari dagozkion erabakien sorta formalki aitortuei eredu abstraktuak edo metaereduak esaten zaie. Metaereduek, beraz, baliabide-deskribapenetan eta bestelako informazio-baliabideetan egon ohi diren egiturak deskribatzen dituzte, arlo zehatza aintzat hartu gabe. Antolaketa-sistemen diseinatzaileek, normalean, eredu bat sortzen dute beren arlo zehatzerako; nolanahi ere, ez dituzte metaereduak hutsetik hasten; aitzitik, formalki aitorturiko eta estandarretan txertaturiko metaereduak hartzen dituzte oinarritzat. Hala sortutako ereduei «arlo jakin bateko hizkuntza» esaten zaie batzuetan. Metaeredu estandarren berrerabilerak abantaila ekonomiko itzelak dakartza, garatzaileek modua dutelako metaereduetako tresnak berrerabiltzeko eta horien gaineko jakintza baliatzeko, hutsetik hasi ordez.
Jarraian, metaereduen oinarri gisa erabiltzen diren egitura-mota ohiko batzuk aztertuko ditugu. Baina, lehenik, adibide zehatz bati begiratuko diogu, ikuste aldera ezen, baliabide-deskribapenaren arabera, erabilera jakin batzuk ahalbidetzen direla, eta beste batzuk galarazten. 1. kapituluan adierazi dugun moduan, baliabidearen kontzeptuak garrantzia kentzen dio gauza fisikoen eta digitalen arteko aldeari, eta, aldiz, beste faktore honi erreparatzen dio: gauzak, oro har, jarduerak ahalbidetzeko eta helburuak lortzeko erabiltzen direla. Liburu-mota desberdinak informazio-baliabidetzat har daitezke, eta ez du axola zer propietate ukigai edo ukiezin dauzkaten. Bestalde, baliabide-deskribapenak orobat dira informazio-baliabideak; hori dela-eta, aztertu dezakegu nola ahalbidetzen dituzten egiturek erabilera zehatzak, kontuan hartu gabe ea fisikoak diren, digitalak diren edo bien arteko nahasketa bat.
9.1 marrazkia: Batten-en txartelak
Batten-ek txartel zulagarriak erabiltzen zituen patente-bilduma bateko patente zehatzak deskribatzeko. Txartel bakoitzak deskribapen-termino bereizi bat adierazten du, eta txarteleko zuloen posizio bakoitzak, berriz, patente jakin bat.
Bigarren Mundu Gerran, patenteak antolatzeko sistema bat garatu zuen W.E. Batten izeneko kimikari britainiarrak. Sistema horretan, hizkuntza-kode bat erabiltzen zen patenteen produktua, prozesua, erabilera eta aparatua deskribatzeko; gainera, txartel zulagarriak erabiltzen ziren deskribapenak erregistratzeko (ikus 9.1 marrazkia). Txartel bakoitzak deskribapen-hizkuntzaren hiztegiko balio espezifiko bat adierazten zuen; posizio bakoitzak, berriz, patente jakin bati egiten zion erreferentzia. #256 patentea, adibidez, kable-estalkiak sortzeko polietilenozko estrusioei dagokie; bada, patente hori deskribatzeko, lehenik, polietileno, estrusio eta klabe-estalkien txartelak hartu behar dira, eta, ondoren, 256. posizioa zulatu horietako bakoitzean. Horrenbestez, #256 patentearen deskribapena hiru txartel horietan hedatuko litzateke.
Txartel-zulatzeko makina
Txartel zulatuak informazioa gordetzeko eta emateko bitarteko garrantzitsua izan ziren hainbat hamarkadaz, baita ordenagailuak asmatu aurretik ere. Hollerith teklatu zulagailua, adibidez, 1890eko errolda estatubatuarreko informazioa transkribatzeko erabili zen. Argazki honetako eredua, berriz, baserri bati buruzko informazioaren erregistroari dagokio. Txartel zulatuak tabulatzeko, makina elektromekanikoak erabiltzen diren. 1911n, tabulazio-makinen lau konpainia elkartu ziren, eta gaur egun IBM deritzon enpresa sortu zuten. Txartel-zulatzeko makina hau Ordenagailuaren Historiaren Museoan dago, Kaliforniako Mountain View hirian. (Argazkia: R. Glushko)
Egitura horrek badu alde on bat: polietileno estrusioei dagozkien patenteak aurkitzeko (edozein xedetarako), bi balio horiei dagozkien txartelak hartu, bata bestearen gainean ipini, eta argi kontra paratzea besterik ez dago. Bi balio horiek betetzen dituzten patenteen posizioetatik argia sartuko da. Hala, deskribapen zehatz batekin bat datozen patenteak erraz topatu daitezke, txartelen egiturari esker.
Ezin uka, bestalde, sistemak desabantailak dituela. Nekeza suertatzen da patente jakin batekin loturiko kontzeptuak aurkitzea, txartel guzti-guztiak berrikusi beharra baitago. Patente bat gehitzea erraz samarra da, betiere index bat baldin badago eta, hala, kontzeptu zehatzei dagozkien txartelak azkar kokatu badaitezke. Nolanahi ere, txarteletan ez denean tokirik geratzen zuloak egiteko, txartelen sorta berri bat egin behar da, patente gehiago sartzeko: lan eskerga. Kontzeptu berriak gehitzea, printzipioz behintzat, erraza da: txartel berri bat gehitu, eta kito. Baina patenteak ezaugarri berri horren arabera aurkitu nahi baditugu, patente guztiak berrikusi behar genituzke, ikuste aldera ea ezaugarri berria betetzen duten eta txartel berriko zer posizio zulatu behar den: lan eskerga da hori ere.
Battenen txartelen egiturari esker, baliabideak azkar hautatu zitezkeen, deskribapen partzial bati jarraituz. Jarraian aztertuko ditugun egitura-motak ez dira Battenen txartelak bezain konplexuak. Baina, txartelek bezalaxe, egitura bakoitzak operazio jakin baten gauzapen mekaniko efizienteagoa ahalbidetzen du, beste operazio batzuen gauzapen ez hain efizientearen ordainetan.
9.2.1 Egitura-motak
Sortak, zerrendak, hiztegiak, zuhaitzak eta grafikoak: horra hor zenbait egitura-mota, baliabide-deskribapenak osatzeko erabil daitezkeenak. Ikusiko dugun eran, egitura horietako bakoitza, egiaz, elkarri loturiko egituren familia bat da. Egitura horiek abstrakzioak dira: egiturazko propietate formalak deskribatzen dituzte modu orokorrean, eta ez dituzte forma fisiko edo testual zehatzak aipatzen. Abstrakzioak erabilgarriak dira, informazioa antolatzeko modu desberdinen propietate komunak erakusten baitizkigute. Propietate komun horiei erreparatuz gero, errazagoa suertatuko zaigu modu bakoitzak ahalbidetzen dituen formez eta eskaintzen dituen potentzialtasunez arrazoitzea, xehetasun ez hain garrantzitsuekin korapilatu gabe.
9.2.1.1 BLOBak
Egitura-motarik errazena, egiturarik eza. Errepara diezaiogun, adibidez, deskribapen honi –liburu baten deskribapena da–: Sebald-en eleberrian, txango bat egiten da, oinez, Ekialdeko Anglia eskualdearen barna, eta aitzakia horren bitartez hausnartzen da iraganaren eta orainaren arteko eta ekialdearen eta mendebaldearen arteko loturez. Deskribapen hau testu-adierazpen bat da, egiturarik gabea; ez dauka argiki zehazturiko zatirik, eta blob bat dela esan genezake. Edo, zehatzago esanda, badu egitura bat, euskararen egitura gramatikala hain zuzen, baina egitura gramatikal hori ez da modu esplizituan adierazten azalerako egituran, esaldia adierazten denean. Euskaraz dakigunez, esaldi horrek liburu baten argumentua deskribatzen duela interpretatzeko gai gara, baina zaila da hori mekanikoki egitea. Bestalde, halako deskribapen idatziak sortzea erraz samarra da, deskribatzaileak hizkuntza natural arrunta erabili dezakeelako.
Blob guztiak ez dira testualak. Baliabide baten argazkia edo baliabide baten ahozko deskribapenaren grabaketa ere izan litezke blobak. Testuak, irudiak zein audioak izan, blob guztiek egitura bat dute azpian, ikusmen- edo entzumen-gaitasun arruntak dituen orok aise ulertzeko modukoa. Hala ere, blobak egiturarik gabekoak direla esan dezakegu, input bisualaren edo entzumenezkoaren azpiko egitura hori ez baita agerikoa inoiz, eta, guri, zehazki, operazio mekanikoak edo konputazionalak bideratzen edo galarazten dituzten deskribapen-egiturak interesatzen zaizkigu.
9.2.1.2 Sortak
Deskribapen bat egituratu nahi bada, hura zatikatzea eta deskribapena sortatzat hartzea da modurik errazena. Adibidez, Sebalden eleberriari buruzko deskribapena termino hauen sorta gisa birformulatu liteke: Sebald, eleberria, Ekialdeko Anglia, ibilaldiak, historia. Hori egin ostean, zentzua apur bat galdu da, baina beste zerbait lortu da: orain, erraz atzeman daiteke ezen Sebald eta ibilaldiak deskribapeneko item bereiziak direla. Horrela, erraz aurki daitezke, esate baterako, ibilaldiak terminoa biltzen duten deskribapen guztiak. (Kontuan izan: hori egitea ez da testuetan ibilaldiak hitza bilatzearen modukoa. Sorta gisa hartuz gero, Fiji, ibilaldiak suaren gainean, memoriak deskribapenean ez da ibilaldiak terminoa biltzen, ibilaldiak suaren gainean terminoa biltzen den arren).
Sortei esker, aise aurki daitezke deskribapenen gurutzaketak. Halaber, erraza da sortak sortzea. 8.1.2 atalean, «folksonomiak» aipatu ditugu: gisa horretako antolaketa-sistemetan, erabiltzaile ez-profesionalek sortzen dituzten baliabide-deskribapenak. Bestalde, halako sistemetan, deskribapenak «etiketa» sorta gisa egituratzen dira. Erabiltzaileek baliabideak aurkitu nahi badituzte, etiketen sorta bat zehaztu dezakete, etiketa horietan gurutzatzen diren deskribapenekiko baliabideak eskuratzeko. Bilaketa hori erabilgarriagoa izango da baldin eta, etiketak sortzean, hiztegi kontrolatua erabiltzen bada, gurutzaketak probableagoak izango baitira. Edonola ere, hiztegi kontrolatua erabiltzen bada, deskribapen-prozesua konplexuagoa bihurtuko da, beraz, nolabaiteko oreka bat topatu beharra dago bi faktore hauen artean: balizko gurutzaketak maximizatzea eta deskribapenak sinple bezain praktikoak izatea.
Egitura-mota edo -klase bat dira sortak. Mugak ezarriz, sorta-mota desberdinen definizioak findu ditzakegu. Adibidez, honako muga hau ezarri dezakegu: sorta jakin batek item-kopuru zehatz bat izan behar duela gehienez ere, edo, bestela, sorta batek beti item-kopuru berdina izan behar duela zehaztu dezakegu; orduan, tamaina finkoko sorta bat izango dugu. Halaber, mugak kendu ditzakegu. Sortatan ez dira itemak errepikatzen (etiketa-sistemetan ere ez luke zentzurik izango baliabide berari etiketa berdina jartzeak behin baino gehiagotan). Esklusibotasunaren muga kentzen baldin badugu, bestelako egitura bat izango dugu: «zorroa» edo «multisorta».
9.2.1.3 Zerrendak
Mugek taxutzen dute zerrenden eta sorten arteko aldea. Zerrendak itemen bildumak dira sortak bezalaxe, baina muga gehigarri bat dute: bertako itemak ordenatuta daude. Etiketa-sistema bat antolatzen ari bagina eta garrantzitsua izango balitz etiketen ordena mantentzea, zerrendak erabiliko genituzke, ezen ez sortak. Sortetan ez, baina zerrendetan item errepikatuak egon daitezke. Zerrendetan, nahiz eta bi item berdinak izan hainbat alderdiri dagokionez, zerrendan duten posizioaren arabera bereiz daitezke; sortetan, berriz, ezin da halakorik egin. Adibidez, baliabide bati esleitu zaizkion etiketak antolatu nahi baditugu, gehien erabiltzen direnak zerrendatuko ditugu lehenik, eta gutxien erabiltzen direnak amaieran; gainerakoak, berriz, erabilera-maiztasunaren arabera antolatuko ditugu.
Berriro ere, mugak txertatu ditzakegu, zerrenda-mota desberdinen definizioak fintzeko; adibidez, luzera finkoko zerrendak sor ditzakegu. Zerrenda bateko item guztiak zerrendak izatea zehaztu dezakegu, eta zerrendaren barruko zerrendetan, berriz, zerrendak ez diren itemak biltzea; kasu horretan, taula bat izango dugu (itemen zerrenden zerrenda bat). Kalkulu-orriak zerrenden zerrendak dira.
9.2.1.4 Hiztegiak
Zerrendek eta sortek badute gabezia nabarmen bat: itemak banan-banan har daitezkeen arren, ez dago itemak bereizteko modurik, salbu eta haien balioak konparatzea (edo, zerrenden kasuan, ordena konparatzea). Sebald, eleberria, Ekialdeko Anglia, ibilaldiak, historia etiketa-sortan, adibidez, ez da aise ulertzen ezen Sebald liburuaren autorea dela, eta Ekialdeko Anglia eta ibilaldiak, berriz, liburuaren edukiarekin lotuta daudela. Arazo horri heltzeko modu bat da item bakoitza bi zatitan banatzea: propietatea eta balioa. Hala eginez gero, gure etiketa-sorta sinplea honela geratuko litzateke: autorea: Sebald, mota: eleberria, gaia: Ekialdeko Anglia, gaia: ibilaldiak, gaia: historia. Horrenbestez, zera esan dezakegu: autorea, mota, eta gaia direla propietateak, eta sortako jatorrizko itemak, berriz, balioak direla.
autorea
Sebald
mota
eleberria
gaia1
Ekialdeko Anglia
gaia2
ibilaldiak
gaia3
historia
Gisa horretako egiturei hiztegia, mapa edo aukera asoziatiboa esaten zaio. Propietate-balio bikoteen edo sarreren sortak dira hiztegiak. Sarreren sortak dira, eta ez sarreren zerrendak, zeren bikoteak ez daude ordenatuta eta sarrera bakoitzak gako bakarra izan behar du. Gogoan izan hiztegiaren esanahi espezializatu bat dela hau, «hiztegi» terminoaren esanahi arrunta ez bezalakoa –terminoen zerrenda alfabetiko bat, termino bakoitzaren definizioa azaltzen duen esaldi batekin–. Nolanahi ere, zerikusia dute bi esanahiek. Egiazko «hiztegi»ek bezalaxe, hiztegiari esker aise aurki dezakegu balio bat (hala nola definizio bat), propietate edo gako zehatz batekin lotua dagoena (hala nola hitz batekin). Kontrara, hiztegi arruntek alfabetoaren arabera ordenatzen dituzte beren gakoak, baina hiztegiaren egituran ez dago halako ordenarik.
Hiztegiak barra-barra erabiltzen diren baliabide-deskribapenetan. Deskribapen egituratuak, formen arabera taxutzen direnak, erraz aurkez daitezke hiztegi moduan: propietateen bidez adieraziko dira itemen etiketen formak, eta datuak izango dira horien balioak. Taula gisa antolatutako datuek «goiburu-lerro» bat baldin badaukate, hiztegien sorta bat direla pentsa dezakegu: zutabeen goiburuak hiztegi bakoitzaren propietateei dagozkie, eta lerro bakoitza, berriz, dagokion hiztegiko balioen sorta bat izango da. Bestalde, hiztegiak oinarrizko data-egiturak dira programazio-hizkuntzetan: ia denetan erabiltzen dira, eta aukera asoziatiboa esaten zaie.
Berriz ere, mugak txertatu edo kendu ditzakegu, hiztegi-mota espezializatuak eratzeko. Hiztegi sailkatuetan, adibidez, sarrerak ordenatzen dira: bestela esanda, sarreren zerrendak dira, eta ez sarreren sortak. Multimapa deritzen hiztegietan, berriz, gako berdina izan dezakete hainbat sarrerak.
9.2 Lau hiztegi habiaratu
Hiztegi baten barruan beste hiztegi batzuk badaude, habiaratuta daudela esaten da.
9. 2 marrazkian (Lau hiztegi habiaratu), hiztegi habiaratuen adibide bat dakusagu. Ezkerrean, hiztegi bat agertzen da, sarrera bakarrarekin: a propietatea. a propietatearekin lotutako balioa, berriz, beste hiztegi bat da, bi sarrera dituena: lehenak b propietatea du, eta bigarrenak, berriz, c propietatea. Halaber, hiztegiak dira b eta c propietateekin loturiko balioak ere.
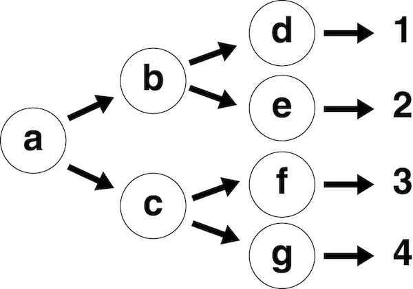
Hiztegiak modu horretan habiaratzen baditugu eta gure hiztegi «nagusiak» (beste hiztegi guztiak biltzen dituen hiztegiak) sarrera bakarra baldin badu, zuhaitz tankerako egitura bat daukagula esan daiteke. 9.3 marrazkiak (Propietateen eta balioen zuhaitz bat), hain zuzen ere, 9.2 marrazkiko propietate eta balio berdinak erakusten dizkigu, baina halako moduan antolatuta non zuhaitzaren egitura agerikoagoa baita. Zuhaitzek bi eratako osagaiak dituzte: nodoak (9.3 marrazkian agertzen diren letrak eta zenbakiak) eta horiek lotzeko ertzak (9.3 marrazkian agertzen diren geziak). Zuhaitzeko nodo bakoitza, zirkulu batekin inguratua, propietate bat da, eta propietate bakoitzaren balioa hauek osatzen dute: zuhaitzaren egituran, nodo horren azpitik (edo eskuinera) dauden beste nodoek. Nodo bat, haren azpitik dauden nodoekiko, gurasoa izango da; ostera, nodo bat, haren gainetik dauden nodoekiko, haurra izango da. Ertzek, hain zuzen ere, nodoen arteko «gurasotasun» harremana adierazten dute. Gurasorik ez duen nodoari, aldiz, zuhaitzaren sustraia esaten zaio; eta haurrik ez duen nodoari, berriz, hosto.
9.3 marrazkia: Propietateen eta balioen zuhaitz bat
Badago hiztegi habiaratuak erakusteko beste modu bat: zuhaitzak. Maila beherenean –zuhaitzaren hostoetan– biltzen dira propietateen balioak.
XML Informazio Sortak zuhaitz-egituren mota jakin bat zehazten du, muga oso espezifikoak gehituz zuhaitzaren definizio oinarrizkoari: besteak beste, haur nodoak ordenatzen ditu. Ordenaren muga horrek bereizten ditu, hain justu ere, XML zuhaitzak eta hiztegi habiaratuak, azken horietako haur nodoek ez baitute ordenarik batere (hiztegiko sarrerek ez dutelako ordenarik). Baliabide-deskribapenei dagokienez, ordenaren mugak garrantzia handia du: ordenarik gabe, ezinezkoa da, besteak beste, hainbat autore zerrendatzea eta, aldi berean, autoreen ordena mantenduko dela ziurtatzea. 9.3 marrazkiko zuhaitzean bestelako muga batzuk ezarri dira: hosto-nodo guztiak dira balioak, eta hostoak ez diren nodo guztiak, berriz, propietateak dira. Beste zuhaitz-mota bat ere sor genezake, zeinean nodo orok baitu propietate eta balio bana. Era askotako zuhaitzak daude, baina guztiek daukate topologia komun bat: nodoen arteko ertzek norabide bakarra dute (nodo bat gurasoa izango da, eta bestea haurra), eta nodo guzti-guztiek, erroek izan ezik, guraso bakarra dute.
Zuhaitzen bidez, baieztapenak multzokatu daitezke, lotuta egon arren elkarrengandik bereiziak diren baliabideak deskribatzen dituztenak. Erreparatu diezaiogun, adibidez, hiztegi baten eran egituratuta dagoen deskribapen honi:
9.1 adibidea. Hiztegi baten eran egituratutako deskribapena
autorearen ponteko izena ➔ Winfried Georgautorearen abizena ➔ Sebald
izenburua ➔ Die Ringe des Saturn
orrialdeak ➔ 371
Hiztegian lau propietate-balio pare multzokatu dira, liburu jakin bat deskribatzen dutenak. (Geziak modu eskematiko eta sinple bat dira, propietatearen eta balioaren arteko harremana adierazteko. Aurrerago landuko dugu zer modu dauden harreman horiek «idazteko», sintaxi espezifikoa erabiliz).
Edonola ere, lehen bi sarrerek ez dute liburua deskribatzen, liburuaren autorea baizik. Beraz, egokiagoa litzateke bi baieztapen horiek nola edo hala multzokatzea. Horretarako, autoreari dagozkion sarrerak liburuaren deskribapenaren barruan habiaratu ditzakegu, eta zuhaitz-egitura bat sortu:
9.2 adibidea: Autorearen deskribapena habiaratzea liburuaren deskribapenaren barruan
autorea ➔ponteko izena ➔ Winfried Georg
abizena ➔ Sebald
izenburua ➔ Die Ringe des Saturn
orrialdeak ➔ 371
Kasu honetan, aproposa da zuhaitz bat erabiltzea; horrela, liburua izango da baliabide primarioa, deskribatu nahi duguna, eta, hortaz, zuhaitzaren erroa izango da. Gero, «adar» modura gehi dezakegu autorearen deskribapena.
Bestalde, autorea ere izan liteke baliabide primarioa; kasu horretan, 9.3 adibideko zuhaitza sortuko genuke:
9.3 adibidea: Liburuaren deskribapena habiaratzea autorearen deskribapenaren barruan
ponteko izena ➔ Winfried Georgabizena ➔ Sebald
idatzitako liburuak ➔
1. izenburua ➔ Die Ringe des Saturn
orrialdeak ➔ 371
2. izenburua ➔ Austerlitz
orrialdeak ➔ 416
9.2.1.6 Grafikoak
Demagun bi liburu deskribatzen ari garela, eta liburuetako baten autorea dela beste liburuaren gaia. Horixe ikus dezakegu, hain zuzen ere, 9.4 adibidean: Elkarri loturiko bi deskribapen.
9.4 adibidea: Elkarri loturiko bi deskribapen
1. autorea ➔ Mark Richard McCullochizenburua ➔ Understanding W.G. Sebald
gaia: Winfried Georg Sebald
2. autorea ➔ Winfried Georg Sebald
izenburua ➔ Die Ringe des Saturn
Deskribapen horiei erreparatuz, bi liburuen arten zer harreman dagoen igarri dezakegu, baina harremana bera ez da modu esplizituan adierazten egituran: bi hiztegi dauzkagu, bereiziak, eta harremanari buruzko inferentziak egin ditugu, propietateen balioak elkartuz. Baliteke inferentzia okerra izatea: baliteke Winfried Georg Sebald izeneko bi pertsona egotea munduan. Modu esplizituan adierazi nahi badugu ezen lehen liburuko gaia –Winfried Georg Sebald– eta bigarren liburuaren autorea –Winfried Georg Sebald– pertsona bat eta bera direla, nola egituratu ditzakegu bi deskribapenak?
Hona aukera bat: Winfried Georg Sebald izan dadila zuhaitzaren erroa, 9.3 adibidean egin dugun bezalaxe: kasu horretan, liburuaren gaia propietatea erantsiko genuke, idatzitako liburuak propietatearekin batera. Konponbide hori egokia izango litzateke baldin eta gure baliabide primarioak pertsonak balira, eta, hortaz, zentzua izango balu gure deskribapenak haien inguruan ardazteak. Baina demagun beste zerbait erabaki dugula: demagun liburuen inguruan egituratu nahi ditugula gure deskribapenak, eta ikuspegi horri dagozkion hitzak erabiltzen ari garela (autorea edo gaia propietateak erabiltzen ditugu, eta ez, ordea, idatzitako liburuak edo liburuaren gaia). Battenen txartelen egiturak mugatu egiten zuen antolaketaren ikuspegia, baina guk ez genuke hala egin behar; aitzitik, gure antolaketa-ikuspegiarekin hobekien egokitzen diren egiturak hautatu behar genituzke, modu kontzientean. Nola egin dezakegu hori?
Bi liburu-deskribapenak zuhaitz moduan aurkezten baditugu, bi adar elkartu ditzakegu (gaia eta autorea), balio berdina dutelako. Hori egiten badugu, gure egitura ez da zuhaitz bat izango, zeren nodoetako batek guraso bat baino gehiago baitauzka. Ikus 9.4 marrazkiko – Grafiko batean lotutako deskribapenak– egitura: grafiko bat da. Grafikoek, zuhaitzek bezalaxe, hainbat nodo dituzte, ertzen bidez konektatuak. Ertzek ez dute zertan norabiderik izan (ikus 6.6.3 atala: Norabidetasuna). Norabiderik badute, «grafiko norabidetua» esaten zaie. Halakoen kasuan, modua egon daiteke nodo batean hasteko eta, ertzei jarraituz, bide bat egiteko, zeinak hasierako nodora baitarama berriro. Halako bideei «zikloa» esaten zaie. Grafiko norabidetuak ez badauka ziklorik, «grafiko ez-ziklikoa» esaten zaio.
Zuhaitzak, horrenbestez, muga gehiago dituzten grafikoak dira. Zuhaitzak grafiko norabidetuak dira, nodoen arteko «gurasotasun» harremana asimetrikoa delako: ertzek norabide jakin batean seinalatzen dute (Ikus 6.3.2.1 atala: Simetria). Gainera, zuhaitzak grafiko ez-ziklikoak dira: ertz norabidetuei jarraitzen badiezu, nodo batetik bestera joanez, ez zara inoiz igaroko nodo beretik bi aldiz. Azkenik, zuhaitzek beste muga bat dute: nodo guztiek (erroak izan ezik) guraso bakar bat izan behar dute.
9.4 marrazkian – Grafiko baten bidez lotutako deskribapenak–, azken muga hori hautsi dugu, bi liburu-zuhaitzak lotu ditugu-eta. Ondorioz, beste grafiko bat sortu dugu: grafiko hori norabidetua eta ez-ziklikoa da, baina, Winfried Georg Sebald nodoak bi guraso dituenez, jada ez da zuhaitz bat.
Egitura oso orokorrak eta malguak dira grafikoak. Sistema-mota askori buruz esan dezakegu ezen ertzen bidez konektaturiko nodoez osaturik daudela: metro-lineek konektatzen dituzte geltokiak; laguntasunak konektatzen ditu pertsonak; premiek konektatzen dituzte erabakiak, etab. Harremanak hainbat modutara tankeratu daitezke, grafiko-mota desberdinak erabiliz. Adibidez, laguntasuna simetrikoa dela uste badugu (ikus 6.3.2.1 atala: Simetria), norabidetua ez dagoen grafiko bat erabiliko genuke harreman hori irudikatzeko. Nolanahi ere, webean oinarrituriko sare sozialetan, laguntasuna asimetrikoa izaten da sarri (baliteke zuk «lagun» eskaera bidaltzea norbaiti, eta hark ez onartzea); hortaz, grafiko norabidetuak egokiagoak dira.
Maiz, erabilgarria suertatzen da grafikoak nodo-pareen sortatzat hartzea: pare bakoitza zuzenean lotuta egon daiteke, edo ez, ertz baten bitartez. Baliabideen arteko harreman estrukturalak ezaugarritzeko baliatzen diren ikuspegi askotan (ikus 6.5.3 atala: Harreman estrukturalak baliabideen artean), oinarritzat hartzen dira zenbait eredu, zeinetan nodo-pareen sorta moduan aurkezten baitira elkarren artean harremana duten baliabideak; ondoren, baliabideen arteko harremanaren patroiak aztertzen dira. Ikusiko dugun moduan, grafiko bat paretan zatitzea erabilgarria suerta daiteke, orobat, baliabide-deskribapenak grafiko gisa egituratzen ditugunean.
9.4 marrazkia: Grafiko baten bidez lotutako deskribapenak
Deskribapenak lotu eta grafiko bat osatu daiteke, baldin eta bi propietari esleitutako balioa berdina bada.
Baliabide-deskribapenak egituratzeko erabiltzen diren metaeredu-mota askotarikoak ezagutu ostean, arretaz erreparatuko diogu metaeredu jakin batzuei. Kapitulu honetan ez daukagu tokirik metaeredu bakoitzaren potentzialtasunak xehe-xehe alderatzeko. Aldiz, gaingiroki aztertuko ditugu hiru metaeredu famatu –JSON, XML eta RDF–, goian aipaturiko metaeredu orokorragoak nola zehazten edo mugatzen dituzten ikuste aldera.
Geratu eta pentsatu: Sare sozialen propietateak
Konparatu Facebook-en "lagun" kontzeptua Twitter-en "follower" -arekin 6.3.2 atalean aztertutako propietate semantikoekin eta atal honetan aztertutako grafikoaren propietateei dagokienez.
9.2.2.1 JSON
JavaScript Objektuen Notazioa (JSON)
- JavaScript Objektuen Notazioa (JSON) datuak trukatzeko testu-formatu bat da, zeinak JavaScript programazio-hizkuntzatik hartzen baitu bere metaeredua. JSON metaeredua, zehazki, JavaScripteko bi egitura-motak osatzen dute: zerrendek (JavaScripten «array» deitzen zaie) eta hiztegiek (JavaScripten «objektu» esaten zaie). Zerrendetan eta hiztegietan balioak daude: testu-sokak, zenbakiak, balio boolearrak (egia edo gezurra) edo balio nulua (hutsa) izan daitezke. Balio horiek JavaScriptetik hartuak dira zuzenean. Bestalde, balioak izan daitezke hiztegiak eta zerrendak ere, hau da, zerrenda eta hiztegiak elkarren barruan habiaratu daitezke, egitura konplexuagoak sortzeko –taulak edo zuhaitzak–.
Zerrendek, hiztegiek eta balio-moten sail oinarrizko batek osatzen dute JSON metaeredua. Metaeredu hori JavaScripten azpisorta bat denez, erraza da JSON metaereduarekin jardutea JavaScripten. JavaScript da, hain zuzen ere, web bilatzaile guzti-guztietan eskura dagoen programazio-hizkuntza bakarra; hori dela-eta, webean datuekin eta baliabide-deskribapenekin jardun behar duten garatzaileek barra-barra erabiltzen dute (Ikus 9.3.2 atala: Sistemak idaztea). Are gehiago, programazio-hizkuntza moderno askok JavaScripteko datu-egiturekin eta balio-motekin bat datozen datu-egiturak eta balio-motak eskaintzen dituzte. Hortaz, JSON erraz erabil daiteke hainbat programazio-hizkuntzatan, eta ez bakarrik JavaScripten.
9.2.2.2 XML Informazio Sorta
Dokumentuen markaketarako erabiltzen diren datu-egituretan oinarritzen da XML Informazio Sorta metaeredua (Ikus 5.2.2.2 atala). Markaketa-egitura horiek –elementuak eta atributuak– egokiak dira dokumentuen eta datuen egitura aldi berean manipulatzeko programazioaren bidez.
XML Infosorta
- XML Infosorta zuhaitz-egitura bat da: egitura horretan, zuhaitzeko nodo bakoitza mota jakin bateko «informazio-item» bat da. Informazio-item bakoitzak, bere aldetik, bere motari dagozkion propietate batzuk ditu. Zuhaitzaren erroan «dokumentu-itema» dago, eta horren haurra «elementu-item» bat da, zehatz-mehatz. Elementu-itemak, bestalde, atributu-itemen sail bat dauka, eta haur-nodoen zerrenda bat. Haur-itemen baitan beste elementu-item batzuk egon daitezke, edo karaktere-itemak izan daitezke (Ikus 9.2.1 Egitura-motak, karaktereei buruz gehiago jakiteko). Atributu-itemen baitan, karaktere-itemak egon daitezke, edo datu idatziak, hala nola izenak, identifikatzaileak edo erreferentziak. Elementuen identifikatzaileak zein erreferentziak (ID/IDREF) n odoak konektatzeko erabil daitezke; hala eginez gero, zuhaitza grafiko bihurtuko da.
9.5 marrazkian –Deskribapen-egitura bat– modu grafikoan erakusten da nola erabil daitekeen XML dokumentu bat autore baten eta bere lanen deskribapenaren zati bat egituratzeko. Adibide horrek erakusten du nola erabil ditzakegun elementu-itemak deskribapenaren arloaren ereduak egiteko: horretarako, izenak eman behar zaizkie elementuei (autorea edo izenburua, adibidez). Elementu horien haurrek, karaktere-itemek, deskribapenaren edukia gordetzen dute: autorearen izena, liburuaren izenburua eta abar. Atributu-itemek, berriz, edukiari buruzko informazio osagarria gordetzen dute: zer hizkuntzatan dagoen, adibidez.
9.5 marrazkia: Deskribapen-egitura bat
XML dokumentuak honela deskribatu daitezke: zuhaitzak dira, zeinetako elementuak nodoak baitira; nodoetan, karaktere-edukia biltzen da zuzenean, edo, bestela, atributuak biltzen dira, zeinetan baitago karaktere-edukia.
Halaber, adibide horrek erakusten du XLM Infosortak edukien nahasketa ahalbidetzen duela: elementu-itemak eta karaktere-itemak «senideak» izan daitezke, guraso-item beraren haurrak. Kasu honetan, Infosorta egiturari esker, liburuaren deskribapena testuzko lerro batean erakutsi daiteke, jatorrizko izenburua jarriz lehenik, eta, ondoren, itzulpenaren izenburua gehituz, parentesi artean. Elementuen eta atributuen bitartez, adierazi da ezen testuzko lerro horretan bi izenburu agertzen direla, nor bere hizkuntzan, eta ez dela, aitzitik, parentesiak biltzen dituen izenburu bakar bat.
Edukiak nahasteko aukerarik ez balego, ezin izango genituzke testu narratiboak idatzi eta esaldiaren erdian hipertestu-loturak txertatu. Edukiak nahasteak modua eskaintzen digu esaldiaren azpi-osagaiak identifikatzeko; horrela, gai gara «Sebald» autorea dela eta «ibilaldiak» eta «Ekialdeko Anglia» gaiak direla bereizteko.
Praktika ona da eskemak erabiltzea datuen errepresentazio-formatua zehazteko; hori eginez gero, ulermen partekatua errazten da, eta epe luzeko mantentze-ahalmenari ere laguntzen dio testuinguru instituzionaletan edo enpresetan. XML eskema, hain zuzen, kontratu baten modukoa da, non alderdiek bat egiten baitute eskema horren definizioekin; JSON metaereduari dagokionez, ordea, programatzaileek bandatik kanpo komunikatu behar dute. «Kodea da dokumentazioa» deritzon ideia erakargarria da programatzaileentzat; eredu-egileek, ordea, nahiago dute abstrakzio-maila handiago bat diseinatu, eta, ondoren, inplementatu.
JSONekin alderatuz gero, XML Infosorta guztiz bestelakoa da, eta ez da guztiz bat etortzen webeko idazketa-hizkuntza ezagunetan erabiltzen diren datu-egiturekin. JSON egiturek bidea errazten diete datuak trukatzeko prest dauden eta xedeetara bideratuta dauden programatzaileei; hala ere, egitura horiek ez duten eskema-hizkuntza formalik, eta ez dira aise moldatzen edukien nahasketarekin.
9.2.2.3 RDF
9.4 marrazkian –Grafiko baten bidez lotutako deskribapenak– grafiko baten tankeran egituratu genuen deskribapen-baliabidea: horretarako, baliabideak, propietateak eta balioak nodo gisa antolatu genituen, eta ertzak erabili genituen horien arteko konbinazioak baieztapen deskribatzaile gisa moldatzeko. Nolanahi ere, bada beste ikuspegi bat, ohikoagoa, zeinean baliabideak eta balioak nodoak baitira, eta propietateak, berriz, haien arteko ertzak. 9.6 marrazkian –Propietateak ertzen tankeran antolatzea, ez nodoen tankeran–, 9.4 marrazkiko deskribapen berdina agertzen da, baina propietateak ertz gisa agertzen dira, eta ez nodo gisa. Egitura hori bat dator, gutxi-asko, RDF metaereduak zehazten duen grafiko-mota zehatzarekin (Ikus 5.2.2.4 atala: Baliabideak deskribatzeko markoa (RDF)).
Azpimarratu dugun eran, nodo-pareen sorta gisa har ditzakegu grafikoak, pare bakoitza ertz batekin lotuta dagoelarik. Era berean, 9.6 marrazkiko deskribapenean ageri den osagai bakoitza nodo-paretzat har dezakegu (baliabide bat eta balio bat), ertz batek (propietateak) lotzen dituelarik. RDF metaereduan, nodo-pare bati eta haren ertzari hirukotea deitzen zaio, hiru zati dituelako: bi nodo eta ertz bat. RDF metaeredua grafiko norabidetu bat da, hortaz, nodoetako bat izango da hirukoteko subjektua (ertza sortzen den nodoa); beste nodoa, berriz, hirukoteko objektua izango da (ertzak seinalatzen duen nodoa). Ertzari , berriz, hirukoteko predikatua edo (orain arte esan dugun eran) propietatea deritzo.
9.6 marrazkia: Propietateak ertzen tankeran antolatzea, ez nodoen tankeran
Deskribapeneko osagai bakoitza nodo-pare bat balitz bezala har dezakegu (baliabide bat eta balio bat), ertz batek lotzen dituelarik (propietateak). Hemen, bi liburu dauzkagu, zeinak lau baliorekin loturik baitaude, bost propietateren bidez. Balio-nodo bakuna, «Winfried Georg Sebald», liburu baten gaia da, eta bestearen autorea. Liburuak kaxa gisa irudikatu dira; ertzak, berriz, gezi gisa, eta balioak, azkenik, testu-soka gisa.
9.7 marrazkian –Hirukoteak modu indibidualean zerrendatzea– banan-banan zerrendatzen dira 9.6 marrazkiko hirukote guztiak. Nolanahi ere, zerbait falta da 9.7 marrazkian. Izan ere, 9.6 marrazkiak argiki erakusten du ezen lehen liburuaren gaia –Winfried Georg Sebald– eta bigarren liburuaren autorea – Winfried Georg Sebald– bat eta bakarra direla; 9.7 marrazkian, ordea, harreman hori ez da garbi ikusten. Nola jakin dezakegu ea hirugarren hirukoteko Winfried Georg Sebald eta hirukote-adierazpeneko Winfried Georg Sebald bat eta bakarra diren? Eta, horren haritik, nola jakin dezakegu ea lehen hiru hirukoteak lehenengo liburuari dagozkion? Deskribapen-grafiko osoaren diagrama batean aise erakuts daiteke hori, ertz ugari agertzen baitira nodo bati loturik. Baina grafikoa hirukotetan zatitzen badugu, nodoei erreferentzia egiteko modu esklusiboren bat behar dugu. Alegia: identifikatzaileak behar ditugu (Ikus 4.4.3 atala: Izen eta identifikatzaile onak aukeratzea). Identifikatzaile berdina duten nodoak bi hirukotetan agertzen direnean, nodo berdina direla jakingo dugu. RDF metaereduak, xede horretarako, URIak eta nodoak lotzen ditu (Ikus 5.2.2.4 atala: Baliabideak Deskribatzeko Markoa (RDF)).
RDF grafikoak hirukotetan zatitzen ditugunean, nodoak identifikatzeko premia sortzen da, eta hori bereziki garrantzitsua da RDF grafikoak «idatzi» nahi ditugunean –grafiko horien errepresentazio testualak sortu nahi ditugunean, irudikatu ordez–, datu gisa trukatzeko moduan. Zuhaitz-egiturek ez dute halako arazorik izaten, zeren posible baita zuhaitz-egitura bat testuz adieraztea, nodo bat bi aldiz aipatzeko premiarik gabe. Horrenbestez, grafiko egituren orokortasunaren eta malgutasunaren trukean, honako prezio hau ordaindu behar da: egiturak erregistratzeari, irudikatzeari eta idazteari dagokion konplexutasun erantsia.
9.7 marrazkia: Hirukoteak modu indibidualean zerrendatzea
Hirukoteak banan-banan zerrendatuta. Hemen, baieztapen bakoitzean, baliabide bat eta balio bat lotzen dira ertz baten bidez. Hortaz, bi balio-nodo bereizi dauzkagu, «Winfried Georg Sebald» deritzenak. Liburuak kaxa gisa irudikatu dira; ertzak, berriz, gezi gisa, eta balioak, azkenik, testu-soka gisa.
9.2.2.4 Mugak aukeratzea
Malgutasunaren eta konplexutasunaren arteko konpentsazio horrek mugei dagokien gai orokorrago bat islatzen du. Baliabide-deskribapenak kudeatzeari eta horiekin elkarreraginean jarduteari dagokionez, mugak gauza ona dira. Goian aipatu bezala, zuhaitzak grafikoak dira, muga oso espezifikoak dauzkatenak. Muga horiei esker, zenbait gauza egin ditzakezu, grafiko orokorrekin egin ezin daitezkeenak, hala nola zuhaitzak testu bidez adieraztea, gauzak errepikatzeko premiarik gabe, edo nodoak modu esklusiboan identifikatzea, zuhaitzaren errotik nodoraino doan bidea baliatuz. Horren ondorioz, errazagoa eta efizienteagoa suerta daiteke deskribapenak eta baliabideak kudeatzea, baldin eta zuhaitz-egitura aproposa bada antolaketa-sistemaren baldintzak asetzeko. Esate baterako, liburu baten edo antzeko dokumentu baten –hegazkin bateko zerbitzuen eskuliburua edo finantza-agiriak– eduki hierarkikoa islatu nahi bada, zuhaitz-egitura ordenatu bat erabiltzea aukera egokia izango da. Bestalde, liburu bat sortzeko elkarlanean jardun diren pertsonen eta antolakundeen harreman-sarea islatu nahi bada, aukera hobexeagoa izango da grafiko-egitura bat erabiltzea. XML, gehien-gehienetan, hierarkiak adierazteko erabiltzen da, baina, horretaz aparte, sare-egiturak irudikatzeko ahalmena du.
9.2.3 Ereduak sortzea, mugen baitan
Metaereduek zenbait muga ezartzen dizkiote baliabide-deskribapenen egiturari. Antolaketa-sistemetan, ordea, gehiago zehaztu nahi izaten ditugu antolatu nahi diren baliabide-mota zehatzen deskribapenen edukia zein konposizioa. Adibidez, liburuak antolatzeko sistema bat diseinatu nahi bada, liburuaren deskribapena XML erabiliz egituratu dela esatea ez da aski, XML metaereduak deskribapenaren egitura zedarritzen baitu, eta ez edukia. Halaber, liburu-deskribapenean kolaboratzaileen zerrenda bat agertzen dela zehaztu behar dugu, eta zerrendako sarrera bakoitzak kolaboratzailearen izena eta kolaborazioaren nolakotasuna adierazten dituela. Halako zehaztapenek eredu bat osatzen dute, eta liburuen deskribapenak eredu horrekin bat etorriko direla espero izaten da (Ikus 5.3.1.2 atala: Abstrakzioa baliabideen deskribapenean).
Antolaketa-sistema bat diseinatzen ari garenean, eredu estandar bat berrerabili dezakegu. Adibidez, ONIX for Books eredu estandar bat da (XML metaereduarekin bat datorrena): liburugintzaren industriak garatu zuen, liburua deskribatzeko xedez.
Ez badago halako estandarrik, edo izan badiren estandarrak ez badituzte gure premiak asetzen, eredu berri bat sor dezakegu gure arlo zehatzerako. Hala ere, normalean ez dugu metaeredu berri bat sortuko; aitzitik, formalki aitortuak izan diren eta estandarretan txertatuta dauden metaereduetako bat aukeratuko dugu (JSON, XML edo RDF). Metaeredua aukeratu ostean, badakigu zer muga hartu beharko ditugun aintzat baliabideen eta bildumen ereduak egitean gure arloan.
9.2.3.1 Hiztegiak eta eskemak zehaztea
Alor jakin batean baliabide-deskribapenak egiteko ereduak sortzeak berekin dakar deskribapenen elementu komunak zehazteko lantegia, bai eta osagai horiei izen estandarrak emateko ahalegina ere (Ikus 5.3 atala: Baliabideak deskribatzeko prozesua). Halaber, ereduak zehaztu dezake nola antolatzen diren osagaiak egitura handiagotan, adibidez, nola ordenatzen diren zerrendetan, zerrenda horiek zuhaitzetan habiaratuta daudelarik. Metaeredu bakoitzak bere erremintak eskaintzen ditu arloei dagozkien ereduen egitura eta konposizioa zedarritzeko; halaber, metaeredu bakoitzak bere metodoak ditu, heldutasun eta sendotasun desberdinekoak, ereduak diseinatzeko. RDFk eta XMLk, nork bere erreminta zehatzak eskaintzen dituzte arlo jakin bateko ereduak zehazteko. Halere, metaeredu guztiek ez dituzte halako tresnak eskaintzen.
XMLn, dokumentu bereizietan zehazten dira ereduak; dokumentu horiei eskema deitzen zaie. Arlo-eredu bat zehazten duen XML eskemak terminoen hiztegi bat eskaintzen du, zeina eredu horrekin bat datozen XML dokumentuetan erabil baitaiteke, elementuen eta atributuen izenak zehazteko. Adibidez, Onix for Books eskeman, liburuen autoreei kolaboratzaile deitzen zaie, eta orrien-zenbaketari, berriz, hedadura. XML eskemak, era berean, arau batzuk zehazten ditu, elementuak, atributuak eta horien edukia egitura gorenagotan nola antolatu zehazten dutenak. Onix for Books eskemak, esaterako, zera xedatzen du liburu-deskribapenei dagokionez: kolaboratzaile elementuen zerrenda bat egon behar dela, zerrenda horrek elementu bat izan behar duela gutxienez, eta Kolaboratzaile elementu bakoitzak KolaboratzailearenRola izeneko haur-elementu bat izan behar duela.
Bi deskribapenek XML eskema berdina partekatzen badute, eta eskema bakarra erabiltzen badute, erraz-erraza da bi deskribapenak konbinatzea. Osterantzean, arazoak ekar ditzake, salbu eta norbaitek zehatz-mehatz asmatu badu nola lotu daitezkeen bi eskemak elkarren artean. Lotura horiek aurkitzea ez da arazo txikia, izan ere, XML eskemak desberdinak izan daitezke semantikari, lexikoari, egiturari edo arkitekturari dagokionez, inplementazio-modu komuna badute ere (Ikus 6. kapitulua: Harremanak eta egiturak deskribatzea).
Zuhaitz-egiturak era askotakoak izan daitezke, XML Infosorta metaereduarekin bat etorrita ere. XMLren erabiltzaileek zenbait arau zehazten dituzte maiz, patroi jakin batzuk XML dokumentuetan ager ote daitezkeen egiaztatze aldera (dokumentuen mailako balidazioa). Hori gutxiago gertatzen da RDF metaereduarekin, horrekin bat datozen grafiko guztiek egitura berdina baitute: hirukote-sortak dira den-denak. Egitura komun horren ondorioz, erraza da RDF deskribapenak konbinatzea; ez dago dokumentuaren egitura egiaztatzeko premiarik. Edonola ere, batzuetan desiragarria izan daiteke deskribapenak egiaztatzea dokumentuaren mailan, adibidez, deskribapen baten parte bat behar denean. XML metaereduaz den bezainbatean, deskribapen horien kontsumitzaileek baieztatu nahi badute ezen deskribapen horiek nolabaiteko egitura bat (propietate jakin bat) izan dezaten espero dutela, dokumentuaren mailan berretsi beharko dute.
RDF metaereduak egitura zehazten du aldez aurretik, horregatik, arlo jakin bati dagokion eredu bat zehaztu nahi baldin bada RDFn, URIak eta predikatuen izenak zehaztea izango da zeregin nagusia. RDF predikatuen-izenak eta URIak biltzen dituen sortari RDF hiztegia esaten zaio. Hiztegiak webean argitaratzea eta predikatuen definizioak URIen bitartez identifikatzea eta aipatzea Datu Estekatuen eta Web Semantikoaren oinarrizko gakoak dira (ikus, halaber, 6.81 atala eta kapitulu honetako hurrengo atalak).
Adibidez, Baliabideen Deskribapena eta Irismena (RDA) deritzon estandarrean, zeina liburutegietako baliabideak katalogatzeko erabiltzen baita, RDF hiztegien sorta bat biltzen da; hiztegi horien bidez, katalogoetako deskribapenetako predikatuak zehaztu daitezke. Hona hemen predikatu horietako bat:
- <http://rdvocab.info/Elements/extentOfText>
Predikatuaren definizioa, berriz, honakoa da: «testuz osaturiko baliabide bat osatzen duten unitateen edo/eta azpi-unitateen kopurua eta mota, ilustrazio osagarriak izan zein ez». Hiztegiak, bestalde, zehaztapen gehiago ematen ditu, eta predikatu hori beste predikatu orokorrago baten finketa dela adierazten du:
- <http://rdvocab.info/Elements/extent>
zeinak zera adierazi baitezake «baliabide bat osatzen duten unitateen edo/eta azpi-unitateen kopurua eta mota», testualak izan zein ez.
JSONek ez dauka modu estandarizaturik, zer termino erabil daitezkeen zehazten duenik. Horrek ez du esan nahi ezen, deskribapenak sortzen direnean JSON erabiliz, ezin dela hiztegi estandarrik erabili, baizik eta ez dagoela adostutako modurik, JSONen bidez zer hiztegi erabiltzen ari zaren adierazten duenik, ez eta modu automatikoan egiaztatzen duenik ere ea hiztegia egoki erabiltzen ari zaren ala ez.
9.2.3.2 Balioak kontrolatzea
Orain arte, zerari erreparatu diogu: nola zehazten diren, ereduen bidez, terminoen hiztegiak, eta nola erabil daitezkeen termino horiek deskribapenetan. Baina ereduek, era berean, deskribapenen balioak edo edukiak mugatu ditzakete. Batzuetan, eredu bakar baten bidez zedarrituko dira biak: zer termino erabil daitezkeen propietateak izendatzeko, eta zer termino erabil daitezkeen propietateen balioetarako. Adibidez, XML eskema batean zera zerrendatu daiteke: atributu-balio batentzat aproposak diren terminoak.
Edonola ere, maiz ez da hala izaten, eta terminoen hiztegi bereizi eta berezituak egoten dira, baliabide-deskribapenetan propietateen balioak zehazteko balio dutenak. Halako hiztegiek, normalean, zenbait balio eskaintzen dituzte, baliabide bat zeri buruzkoa den deskribatzen duten esaldietan erabil daitezen. Gaikako hiztegien adibide dira Kongresuko Liburutegiko Gai-Sarrerak (LOC-SH, ingelesezko sigletan) eta Medikuntzako Gai-Sarrerak (MeSH, ingelesezko sigletan). Beste hiztegi batzuetan, berriz, jendearen, enpresen edo tokien izen egiaztatuak biltzen dira. Sailkapen-eskemak ere hiztegi-mota bat dira: kategoria-izenak eskaintzen dituzte, baliabideak sailkatzeko balio duten baieztapen deskribatzaileetako balio gisa erabil daitezen.
Metaeredu bakoitzak bere modura zehazten du hiztegia, horregatik, normalean hiztegien bertsio desberdinak egoten dira, metaeredu batekin edo bestearekin erabiltzeko. Adibidez, LCSH hiztegia bi eratan eskura daiteke: XML gisa, Metadatuen Deskribapen Egiaztatuen Estandarra (MADS, ingelesezko sigletan) deritzon eskemarekin bat eginez, edo RDF moduan, Jakintza Antolatzeko Sistema Sinplea (SKOS, ingelesezko sigletan) hiztegia baliatuz.
Hainbat modutan kontrolatu daiteke zer balio eslei dakiokeen propietateei, eta hiztegia zehaztea modu horietako bat baino ez da. Badago beste estrategia bat: zer balio-mota esleitu daitekeen zehaztea. Adibidez, liburu-deskribapenetarako eredu batek zehaztu lezake ezen orrialdeak propietatearen balioak zenbaki oso eta positibo bat izan behar duela. Edo, bestela, are zehatzagoa izan liteke: ikastaroen katalogo batean, ikastaro bakoitzak kode berezi bat izango du, bi zatirekin: lehenik, bi letra, ikastaroaren sailari dagozkionak; ondoren, 1-3 digitu bitarteko zenbaki bat, ikastaroari dagokiona. Halako datu-motak adierazpen erregularren bidez adieraziz gero, propietatearen balizko balioen kopurua murrizten da, balizko balio guzti-guztiak zerrendatzeko premiarik gabe (Ikus koadro gehigarria).
Ereduen bitartez, mota bat zehazteaz gainera, edo mota bat zehaztearen ordez, balioak kodetzeko eskema bat zehaztu daiteke. Kodetze-eskemak, hain zuzen ere, idazketa-sistema edo sintaxi berezituak dira, balio-mota jakin batzuentzat erabilgarriak. Esate baterako,
Atom ereduan –webeko eduki sindikatua deskribatzeko balio du–, argitalpen-data bat jarri behar da, baina datak hainbat eratan idatz daitezke: 76/2/9; 1976eko irailak 2; irailaren 2a, 1976 eta abar. Atomek, halaber, kodetze-eskema bat zehazten du data-balioentzat. RFC3339 da kodetze-sistema hori, eta sistema estandar bat da daten idazketari dagokionean.
RFC3339 erabiltzen denean, data beti modu berean idatzi behar da: 1976-09-02.
Kodetze-sistemak identifikatzaile estandarizatuekin batera zehazten dira sarri (Ikus 4.4.3.1 atala: Sor itzazu izen informatiboak). Adibidez, Liburuen Nazioarteko Zenbaki
Estandarrak (ISBN) ez dira, huts-hutsean, arabiar zifren hurrenkerak: aitzitik, ISBN kodetze-eskemaren arabera idatzitako balioak dira. Eskema horrek zehazten du nola banatzen diren zenbakien sekuentziak hainbat zatitan, eta nola interpretatu behar den zati bakoitza. ISBN 978-3-8218-4448-0hurrenkerak, adibidez, bost zati ditu, eta lehenengo hiru zatiek adierazten dute ezen identifikatzaile horri dagokion balioa 1) argitalpen-industriaren ekoizpen bat dela, 2) herrialdea aleman-hiztun batean kaleratu dela, eta 3) Eichborn argitaletxeak eman duela.
Kodetze-eskemak, beraz, informazio-mota zehatzen eredu oso espezializatutzat har daitezke, hala nola daten edo liburuen identifikatzaileak. Informazioaren egitura zedarritzeaz gainera, nola idatzi beharko litzatekeen zehazten dute; horregatik, idazketa-sistema espezializatu gisa har ditzakegu, hau da, eskemek zehazten dute nola irudikatu informazioa testualki.
Kapitulu honen bigarren zatian, baliabide-deskribapenen irudikapen testualari dagozkion auziak jorratuko ditugu: baliabide-deskribapenen idazketari dagozkion auziei erreparatuko diegu, alegia. Egitura-mota orokorrak dira grafikoak, zuhaitzak, hiztegiak, zerrendak eta sortak, eta hainbat metaeredutan erabiltzen dira. Mota orokor horiei buruz pentsatzen badugu, eta aztertzen badugu zein modutan egokitzen diren –edo ez– gure baliabide-deskribapenen tankerarekin, metaeredu bat aukeratzeko lagungarria izan daiteke. Metaeredu zehatzak, hala nola XML Inforsorta edo RDF, goian aipatu ditugun egitura-mota orokorragoen gauzapen estandarrak eta formalizatuak dira. Metaeredua aukeratu ostean, badakigu zer mugarekin jardun behar dugun gure arloko baliabideen eta bildumen ereduak egitean. Metaereduak, halere, abstraktuak dira, eta maila kontzeptualean bakarrik existitzen dira, horregatik, puntu jakin bateraino bakarrik eramango gaituzte. Baliabide-deskribapen indibidualak sortu, gorde eta trukatu nahi baditugu, konkretu bihurtu behar ditugu gure metaereduek zehazturiko egiturak. Idatzi egin behar ditugu.
